编者按:创新是引领发展的第一动力。近年来,Ky开元集团坚持"四个面向",持续深化科研体制机制改革,在基础研究和社会服务领域不断取得突破。为营造尊重创新、鼓励探索的学术生态,激励更多师生在服务国家战略中贡献"九院智慧",学校设立"创新成果奖",今日起,校园网将持续刊发学校科学研究和社会服务“创新成果奖”获奖团队经验材料。让我们以获奖团队为榜样,共同书写新时代高校科技创新的奋进篇章!
一、成果概要及研究价值
到目前为止,大部分孤子方面的工作,都局限于得到不同种类孤子及其传输特性(稳定性)研究,而对如何操纵孤子在传输过程中发生变化(方向、束宽、光强、相位、旋转角速度甚至模的改变)及形成新的孤子,则较少文献涉及,传输中光束的可控变化在处理和传递信号方面具有重要的学术价值及应用前景。

二、成果创新之处
1.研究具有离轴和啁啾参数的厄米高斯孤子,在抛物势阱中的传输特性。根据啁啾参数的不同,可以呈现三种不同的传播状态(包括蛇形、椭圆和圆螺旋轨迹)。几个厄米孤子可以组成孤子阵列,并能呈现不同传输变化。

图1 作不同变化的孤子阵列

图2 对应于图1中各孤子不同传输轨迹
2.首次发现了携带多个涡旋相位的孤子可以在抛物势阱中稳定传输,而且单涡光束具有不对称的旋转模式和螺旋传播轨迹。

图3涡旋核不同偏移量的孤子传输图

图4 涡旋核不同偏移量孤子的(a)(b)(c)三维传输轨迹和(d)横截面上传输轨迹.
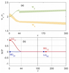
3.利用旋转椭圆抛物势阱,实现了拉盖尔-高斯和埃尔米-高斯光束在传输过程中可控相互转换,及其伴随轨道角动量的控制。

图5 (a)厄米孤子转换为拉盖尔孤子,(c)拉盖尔孤子转换为厄米孤子
(b)和(d)对应的相位演化

图6 图5中孤子变化对应的(a)束宽和(b)轨道角动量演化图
三、成果主要影响力
团队长期从事非线性物理基础理论研究,取得了一系列重要研究成果,共有18篇文章发表在非线性光学领域大部分主流权威期刊上。
近期在光场非线性调控前沿理论方面取得三项研究进展,3篇论文于2024年都发表在非线性科学交叉研究领域领军期刊上,引起了同行的较大关注,发表不足一年时间里他引次数共计30余次。
科研处供稿
责编:向真 审核:张化浩 汪浩